Benzophenone-9
Ainm an Táirge: Mfsorb® 103
Ainm INCI: Benzophenone-9
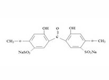
Ainm Ceimiceach: Disodium 2,2'-dihydroxy-4,4'-dimethoxy-5,5'-disulfobenzophenone
Cur síos
Ainm Táirge:Mfsorb®103
INCIAinm:Benzophenone-9
CeimiceachAinm: Disodium2,2' -dihydroxy-4,4' -dimethoxy-5,5' -disulfobenzophenone
Uimhir CAS:76656-36-5
EINECS Uimh .: 278-520-4
Foirmle Cheimiceach:C15H12N / A2O11S2
Meáchan Móilíneach:478.36
| Struchtúr Ceimiceach : | Saintréithe UV : |
| ![]() |
Dealramh:Púdar criostalach buí geal
Coinníoll Stórála: Coimeádáin séalaithe, éadrom-resistant
Pacáiste: Druma snáithín 25kg
Iarratais:Benzophenone-9úsáidtear chun datháin, comhábhair ghníomhacha agus cumhráin in ullmhóidí cosmaideacha a chosaint ar éifeachtaí dochracha na radaíochta UV.
Tiúchan uasta:10%
Doiciméid Theicniúla
TDS103_BP9_20190301_ES_65% _EN
Clibeanna Te: benzophenone-9, an tSín, déantúsóirí, monarcha, saincheaptha, luachan, i stoc, sampla saor in aisce
Glaoigh Linn
B’fhéidir gur mhaith leat freisin











